一般丙烯酸主要用來做一些化工原料,例如建筑涂料用的乳膠漆就是用丙烯酸作為基料。而在近幾年也發生過多起丙烯酸在運輸過程中泄露導致的地表水質污染事件。針對這種情況不僅考驗環保部門的應急處理能力,同時也是在考驗相關環保部門的檢驗技術能力。目前常用的丙烯酸檢測方法有液相色譜和離子色譜兩類。
離子色譜法主要是利用淋洗液攜帶水樣進入分離柱,讓丙烯酸與有離子交換功能基的平衡離子爭奪色譜柱上離子交換位置。通過淋洗液的不斷淋洗,丙烯酸從色譜柱上洗脫下來,實現了分離。通過抑制器大幅度降低淋洗液的電導值,經檢測器得到其色譜峰。方法用保留時間定性,峰面積定量。
1.丙烯酸標準物質:有證標準物質,液體,純度98?%以上。
2.丙烯酸標準貯備液1?000?mg/L。
準確稱取1.000?g丙烯酸標準物質(可根據丙烯酸密度換成體積數準確量取,實驗室一級純水稀釋至1?000?mL容量瓶中,配制成1?000?mg/L的丙烯酸標準貯備液;密封,4?℃以下冷藏避光保存,待用。此溶液有效期30?d。
3.丙烯酸標準使用液10.0?mg/L。
移液管準確吸取1.00?mL標準貯備液至100?mL容量瓶中,實驗室一級純水定容,配制成10.0?mg/L的使用液;此溶液現用現配。
1.離子色譜儀:具電導檢測器、氫氧根系統淋洗液發生器或等效裝置、陰離子抑制器。
2.色譜柱:陰離子分析柱填料為乙烯乙基苯二乙烯基苯共聚物;官能團為烷醇季銨或烷基季銨;陰離子保護柱填料為乙烯乙基苯二乙烯基苯共聚物。
3.過濾器:水系尼龍材質,濾膜孔徑0.45?um。
4.容量瓶:100?mL和1?000?mL。
5.分析天平:感量0.1?mg。
6.玻璃單標線吸量管:1?mL和10?mL。
7.玻璃分度吸量管:5?mL。
淋洗液流速:1.0?mL/min;
抑制器電流:60?mA;
進樣體積:100ul;
淋洗液洗脫濃度:15?mmoL/L,等度淋洗;
洗脫時間:20?min。
分別移取0?mL、0.50?mL、1.00?mL、2.00?mL、4.00?mL和5.00?mL丙烯酸標準使用液于100?mL容量瓶中,高純水定容,配制成丙烯酸濃度分別為0?mg/L、0.05?mg/L、0.10?mg/L、0.20?mg/L、0.40?mg/L、0.50?mg/L的標準系列溶液。此標準系列溶液現用現配。按照濃度從低到高的順序依次測定。以丙烯酸的峰面積為縱坐標,濃度為橫坐標,繪制校準曲線。
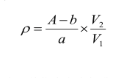
將采集好的水樣過濾,然后根據丙烯酸的峰面積由校準曲線得到丙烯酸的濃度。丙烯酸的峰面積由校準曲線得到丙烯酸的濃度。丙烯酸標準色譜可以參考相應的色譜圖。其中定性翻譯可以根據標準色譜圖中丙烯酸的保留時間確定被測樣品中的丙烯酸。而定量分析需要根據丙烯酸相應的峰面積進行測定,最終結果可以按相應的質量濃度計算公式得出。

水樣中丙烯酸定量計算公式:

以上內容來源于《DB37/T 4151—2020 水質 丙烯酸的測定 離子色譜法》