電導率水質檢測儀的分析法是將被測溶液放在由固定面積,固定距離的兩個鉑電極所構成的電導池中,通過測定溶液的電導來確定被測物質含量的分析方法。
在實際水質檢測中電導分析法裝置簡單,操作方便,但選擇性差,不適于測定復雜溶液體系。因此在水質分析中常用來對水的純度和天然水等的鹽類的測定。它的檢測原理也特別簡單,下面我們就給大家講解一下。
電導率檢測儀的基本原理
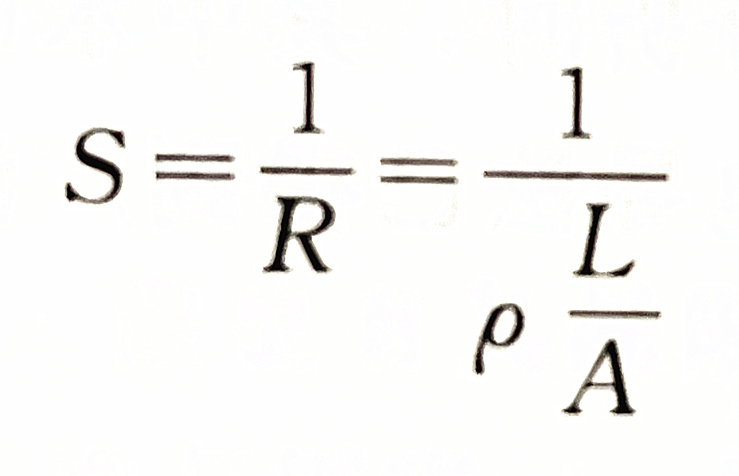
電解質溶液具有導電性能,因此在一定的溫度下,電解質的電阻服從歐姆定律??梢园凑障聢D進行計算:
式中 R— 電阻,Ω;
p— 電阻率,Ω·cm;
L— 電解質導體長度,cm;
A— 電解質導體的截面積,cm2
電阻的倒數稱為電導,它表示溶液的導電能力,通常用符號S表示。
電導的單位為西門子,簡稱“西”,用符號S表示(也即Ω-1),在水質分析中常用uS,1S=106μS。
測量電解質溶液的電導,是用兩極片插入溶液中,組成電導池,通過測量兩極間的電阻,就可以測得溶液的電導。對某一電導池,兩片電極間的距離(L)和電極面積(A)是固定不變的,故L/A是一個常數,用Q來表示,稱為電導池常數。
而電阻率的倒數稱為電導率。

當已知電導池常數,并測出電阻后,即可求出電導率。
測定水質的純度
為了證明高純水的質量,用電導法是最合適的方法。25℃時,絕對純水的理論電導率為0.055uS/cm。一般用電導率大小測定蒸餾水、去離子水或超純水的純度。超純水的電導率為0.01~0.1μS/cm,蒸餾水為0.5~2μS/cm,去離子水為1μS/cm等。
判斷水質狀況
通過電導率的測定可初步判斷天然水和工業廢水被污染的狀況。例如飲用水的電導率為50~1500uS/cm,清潔河水為100uS/cm,天然水為50~500μS/cm,礦化水為500~1000μS/cm或更高,海水為30000μS/cm,某些工業廢水為10000μS/cm以上。
上一篇:二次供水水質檢測有多少項目
下一篇:cod檢測儀的詳細使用方法